台风救援显仁心 锦旗致谢暖医途——阳春市人民医院创伤中心台风天救治重伤患者获赠锦旗与感谢信
9月24日,台风“桦加沙”正面袭击阳江,狂风暴雨肆虐之际,我院创伤中心展开了一场与时间赛跑的紧急救援。近日,经多科室协同救治后康复的陈女士与家人一道,带着两面印着“争分夺秒创造生命奇迹 仁心妙手彰显医者本色”的锦旗和一封情真意切的感谢信,专程回到医院,向创伤中心全体医护人员表达诚挚谢意。



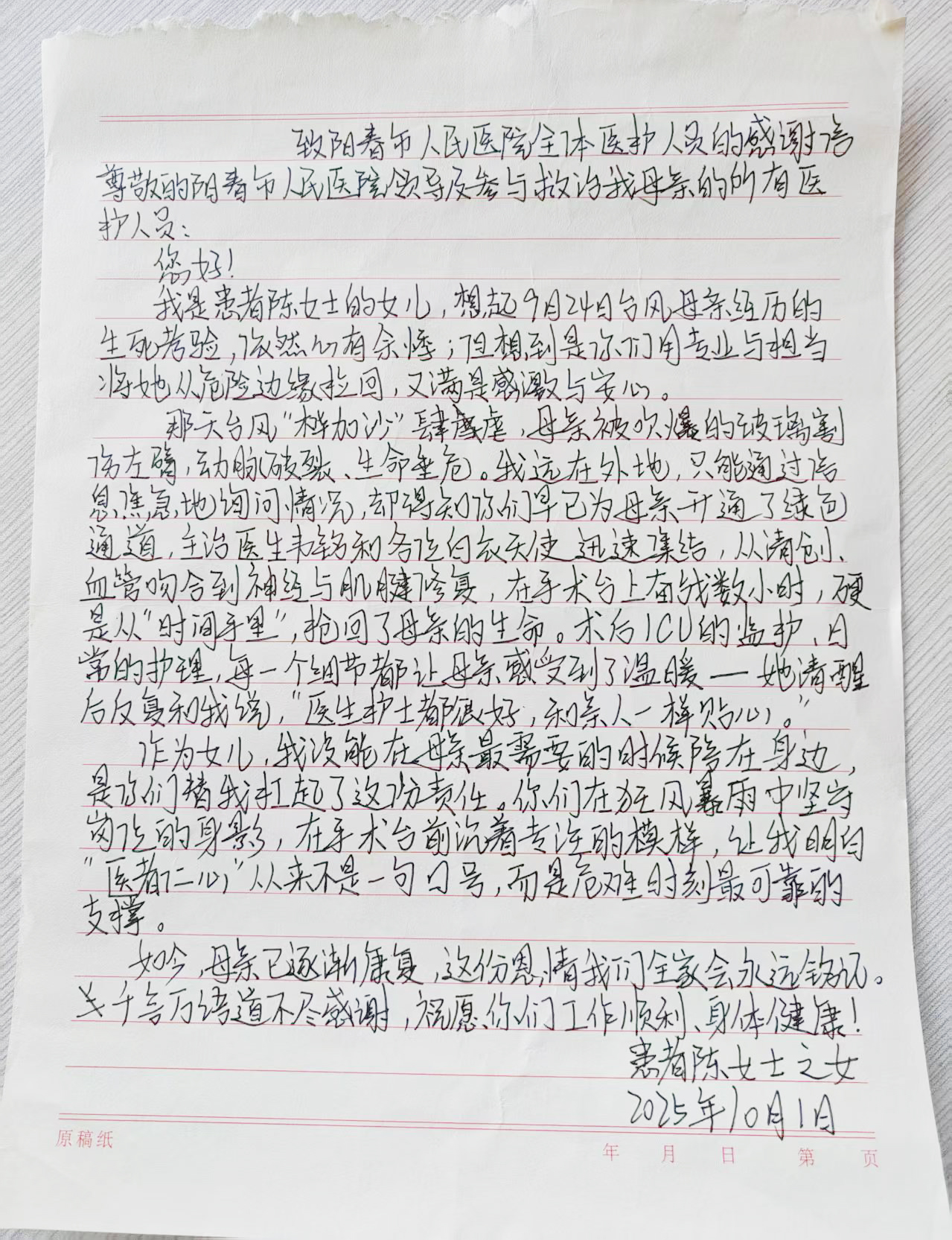
“想起9月24日母亲经历的生死考验,我依然心有余悸;但想到是你们用专业与担当将她从危险边缘拉回,又满是感激与安心。”陈女士女儿在感谢信中写道,字里行间洋溢着对医护人员的深切感恩。当天,陈女士家中玻璃被台风吹爆,左上臂、左肘部及左手部多处严重裂伤,左上臂肱动静脉脉离断,生命垂危。远在外地的女儿只能通过电话焦急打探母亲情况,直到得知医院已为母亲开通绿色通道、医护团队正全力救治,悬着的心才稍稍放下。 据了解,陈女士从市妇幼医院被转移至我院时,伤口持续流血,已出现休克症状。阳春市卫生健康局及我院领导高度重视,第一时间赶赴抢救一线指挥协调,迅速开通急救绿色通道,启动多学科协作救治机制,将患者直接送入手术室。术中探查发现,陈女士左上肢存在多处损伤,伤口内残留玻璃碎片,肱动静脉、肘部头静脉、贵要静脉完全离断,正中神经及肘部肌群大部分离断,左手背处伤口探查发现第3、4指伸肌腱多段离断伤,病情复杂且危急。 面对严峻考验,手术团队沉着冷静,有条不紊地实施清创、血管吻合、神经与肌腱修复等一系列精细操作。数小时里,医护人员始终专注于手术台前,凭借精湛技术与高度责任感,成功从“死神手中”抢回陈女士的生命。当晚22时10分,手术顺利结束,陈女士生命体征趋于平稳,随后被转入ICU接受进一步监护治疗。 术后护理阶段,医护人员的细致关怀同样让陈女士倍感温暖。“医生护士都很好,和亲人一样贴心。”这是陈女士清醒后反复向女儿提及的话。这份温暖,也让未能在母亲身边陪伴的女儿深受触动:“是你们替我扛起了责任,你们在狂风暴雨中坚守岗位、在手术台前沉着专注的模样,让我真正明白‘医者仁心’不是口号,而是危难时刻最可靠的支撑。” “如今母亲能顺利康复,全靠大家的付出,这份恩情我们全家永远铭记。”陈女士的女儿动情地说。此次救援不仅展现了我院应急救援的扎实准备,更彰显了医护人员在极端天气下的迅速响应速度、精准判断能力与无私担当精神。 两面锦旗、一封感谢信,既是陈女士及家属对医护工作的高度肯定,更是医患同心的温情见证。它激励着医护人员继续坚守初心、守护百姓生命健康,也让“敬佑生命、救死扶伤”的誓言在平凡岗位上熠熠生辉——医护人员用专业与坚守,在一次次与死神的较量中,让“医者仁心”绽放出动人的光芒。



